12. Tragicomical history of Newton’s universal constant of gravitation
Newton retired to the Mint as a law enforcement agent and caught counterfeiters and sent them to the gallows. There is a correspondence between Newton’s two careers.
The Mint is an executive bureaucracy who transfers some ink on pieces of paper and defines their value and enforces them by its authority as the standard of barter. Newton was doing the same all his career. He wrote “force” on a piece of paper and enforced it as the universal law of Nature by his authority sending science to scholastic gallows.
Newton’s disciples continued the process and minted their own definitions. They wrote “G” on a piece of paper and they said it was the Newtonian constant of gravity, the new standard of universal causes, unit of force, Soul of Newton and creed of Newtonism. To this day G was never observed in a proper experiment.
Nature rejects Newtonism. Once we see Newtonist definitions as rubber checks bounced by Nature we can identify and eliminate them to recover the constants they hide.
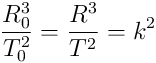
We know that Newton started from Kepler’s rule and wrote it as

where R is the radius and T is the period of the orbit. Newton then multiplied both sides by a label he invented, mass, then labeled each side by another label he invented, force, and labeled each side Newton’s laws:


Newton wrote his Principia as a scholastic commentary to establish these labels as physical quantities, he used the authority of geometry as polemics and added Scholiums as his running commentary on the classical scholastic subjects such as space, time, inertia and causes of all kinds.
Kepler’s rule works fine without the Newtonian labels and mystical speculations, and describes orbital motion with two necessary and sufficient quantities. When Newton needed to do astronomical computations he eliminated his laws and labels but declared that celestial motions obeyed Newton’s law of gravity. Astronomy and physics are Newtonian sciences in label only.
When written with a constant term Kepler’s law is:

where
and
are arbitrary units. This proportionality does not contain any Newtonian terms or constants. The unit term is chosen arbitrarily and kept constant, it is not a constant of Nature.
Absolute laws and their symbols—absolute constants—are political concepts invented by Newtonists. Newtonian constants are the projection of the British colonial posture to Nature. There are no absolute constants in Nature that can be perceived scientifically.
Rational scientists – as opposed to academic physicists – reject political symbols marketed as absolute laws of Nature.
Up to the nineteenth century the Newtonists wrote Newton’s definition of force without a unit, because F was only a label and had to be eliminated in astronomical work, it did not make sense to introduce a unit of a label, only later they thought of inventing a unit and call it a dynamical constant of gravity.
A lack of a Newtonian dynamical constant would have caused a major crisis in astronomy, because the celestial motions could not be explained, but no such crisis existed because Newton’s law was not used in astronomy. Celestial motions obeyed Kepler’s law and the only dynamical constant used in astronomy came from Kepler’s law and not from Newton’s definitions.
At this point, nineteenth century physicists must have reevaluated their dogmatic belief in Newton’s authority by questioning the validity of a definition they called a universal law of gravity but had no practical value. Instead they chose deception. Rather than discarding Newton’s decorative law they transformed it back into Kepler’s law by recombining the terms that Newton had separated but they still called it Newton’s law because they renamed k Newton’s constant G.
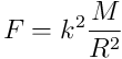
Newton’s definition written with a unit force and mass would be:

Physicists reasoned that if they could measure
in a laboratory experiment they would obtain a “universal unit of gravitation” which would allow them to know the absolute values of the celestial masses. But
was a placeholder invented by Newton and did not have physical meaning, neither did its unit value
. Labels cannot be measured in the laboratory. When physicists realized this they just took the measurable and physically meaningful constant from Kepler’s law and planted it into Newton’s law. They replaced
, the would-be unit force, with Kepler’s constant
and the definition of force became:

This was a proof that Newton’s so-called law was Kepler’s law written with labels that Newton invented to hide the fact that he was calling Kepler’s law “Newton’s law.” It also proved that a Newtonian theory of gravity never existed except as Newtonian propaganda.
Newton’s so-called law is not a law because it is not a constant ratio between physical quantities but a mere definition with labels substantiated by authority. Its constant term,

is non-physical and cannot be measured, and the physicists had to replace it with Kepler’s constant which amounted to eliminating Newtonian labels in Kepler’s law by substituting their physical values.
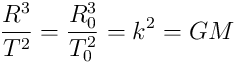
By the 1880s Newton’s so-called law started to appear in Celestial Mechanics textbooks with the Keplerian constant
. The authors did not call it “Kepler’s constant” in Newton’s law, but “a constant depending on the choice of units,” or “a factor of proportionality,” or simply “a constant.” This new version of “Newton’s” law did not look like Newton’s law. Kepler’s constant
was an explicit reminder of Newton’s law’s dependence on Kepler’s law. Physicists solved this problem by changing the name of the constant from
to
and started calling it Newton’s constant of gravitation:

The physical constant did not change, there was no new quantity that
referred to, the name of Kepler’s constant was simply changed to Newton’s constant.
About two centuries earlier Newton had stolen Kepler’s law and now his disciples stole Kepler’s constant and called it Newton’s constant. “Newton’s law” was now written as:

This expression looked like a Newtonian statement, it contained a “Newtonian” constant
, a “Newtonian” mass
, and a “Newtonian” force
, but none of these non-working Newtonian labels could turn Kepler’s law into Newton’s law, they only hid it temporarily. Furthermore, this was still a decorative and physically meaningless statement, even its dimensions were wrong. To make Newton’s so-called law into a true law of orbits it must be transformed into Kepler’s law by replacing the label
with its Keplerian value. After doing this physicists recovered Kepler’s law that Newton had dismembered two hundred years earlier:

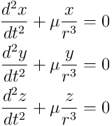
This result meant that celestial motions obeyed Kepler’s third law and not a “Newton’s law.” But by nineteenth century Newton’s authority was already too entrenched in the Newtonist scholasticism and it was out of question to challenge it, there were already too many Celestial Mechanics books using “Newton’s” equation of motion written in vector form as differential equations and as functions of the Cartesian coordinates.
Over the centuries scholastic physicists kept adding several layers of notation on Kepler’s simple proportionality because this is what the scholastics do, they hide knowledge by inventing a proprietary language which is a substanceless form:

said nothing more than

but it was scholasticized by academic bureaucrats to hide that they were just using Kepler’s law to make astronomical calculations. The differential form “looked” properly Newtonian and “acted” Keplerian and Newton’s authority and the Newtonist creed were saved. When the high level notation is simplified and Newtonian layers of decorative labels are stripped Kepler’s law is revealed, once again proving that a Newtonian law of universal gravitation never existed except as Newtonian propaganda. Of course, it was ingeniuous to make force a function of coordinates and alter its Newtonian occult meaning and still call it Newtonian force. This piece of mathematical polemics is what physicists do best.
Newton substituted
in Kepler’s law with the label F, legalized it in his Principia and enforced it by his authority as a physical quantity and called it Newton’s law and his disciples have been adding amendments to it ever since. Both
and
are labels for the same conventional unit,

that British physicists wrote in their national units and marketed it as an absolute constant of Nature. In astronomy only Kepler’s constant is used, and it has always been a “constant depending on the choice of units.” A Newtonian concept of absolute mass is a superfluous label. Masses are computed from Kepler’s law and interpreted in terms of Newtonian occult forces which are eliminated later to obtain Kepler’s law.