1. About
This is the equivalence of densytics and physics:

Physics is densytics branded with Newtonian ideology.
Both densytics and Newtonian branded version of it describes orbits equally well; one would choose Newtonian version only if one is a priest of the cult of Newton. For marketing and public relations reasons, priests of the cult of Newton call themselves “physicists”.
- Kepler’s rule is the definition of density.
Newton encoded Kepler’s Rule as Definition 1 in the Principia as a secret message to posterity.
- Density continuum is defined by Kepler’s Rule as

Starting from Kepler’s rule instead of “deriving” it from Newtonian ideology eliminates Newtonian
- force
- mass
- gravity
- attraction
- linear inertia
- forceful orbits
and the dogma of atomic materialism Newton assumed to make his force work. In short, when we assume that Kepler’s rule is fundamental and start from density continuum every ideological label invented by Newton in order to hide the fact that he was using Kepler’s rule to make astronomical computations are eliminated and we end up with a simplified picture of the world.
Density continuum eliminates the superflous terminology Newton invented in order to design a System of the World branded as Newtonian. We don’t need Newtonian ideological terms to describe the world.
Density continuum saves and explains astronomy and physics as well as the consistent system of units called Newtonian mechanics.
Computations are greatly simplified and density continuum saves every phenomenon as well as Newtonian mechanics full of superfluous terms such as force that physicists write first and eliminate on the next line to recover Kepler’s rule.
This is not surprising at all when we understand what the Newtonian mechanics is.
What is Newtonian mechanics?
Newtonian mechanics is a consistent system of units and labels that use Kepler’s Rule as its engine.
Newtonian mechanics differ from other mechanics or algorithms in its treatment of mathematical objects. In Newtonian mechanics all mathematical objects, such as units and coefficients, are labeled with ideological names to make the framework look Newtonian.
Newtonian mechanics also contains as many ideological and decorative labels that do not have mathematical or physical referents. They exist purely to save Newton’s authority. For example, the force.
How come?
Ideological and decorative labels and terms exist because they are written to save the ideology and then cancelled by ritualized mathematical sophistry such as writing the same term on both sides of an equation.
This is why this mechanics is called “Newtonian” mechanics.
Newtonian mechanics is like the Ptolemaic mechanics. Both save the phenomena with an open ended mathematical framework. Open ended because new phenomena can always be saved by adding new terms.
The difference with these two mechanics is that Ptolemaic mechanics is purely geometrical while Newtonian mechanics is based on a rule. This rule is Kepler’s rule. Newtonian mechanics use Kepler’s rule to save phenomena but claims to have used Newton’s universal gravitation.
Therefore, Newtonian mechanics is scientific fraud.
Let’s start from the Principia.
In the Principia Newton did something that was never done before in astronomy. Newton used what he claimed to be the law of the universe to compute astronomical quantities. It’s difficult for us to imagine what this meant to Newton’s contemporaries.
Imagine you are an astronomer in Newton’s time. In order to predict the motions of a planet you must build astronomical tables. You take whatever observations you can find and list them as a table. Then you use mathematical methods to extrapolate the missing data between rows in your table.
You have no idea why planets move the way they do because you don’t have a rule that explains the motions modeled by your table.
Enter Newton.
Newton claims to have discovered the underlying law of the universe. He calls this universal law the force of gravity or the universal gravity and he says he can prove it.
He offers his book known as Principia as evidence. He starts with definitions, then states laws of motion then states mathematical looking theorems, supposedly proves them and then lists astronomical phenomena and finally in the third book he claims to compute astronomical quantities by using universal gravitation that he discovered.
If this were anything more than propaganda it would have been a truly great achievement: A scholastic doctor of philosophy practicing in Cambridge, England, in the 18th century discovers the true law of the universe by divine revelation and proves it by making astronomical computations such as computing the surface gravity of Jupiter.
Yet, Newton never discovered any new quantity in nature by revelation or otherwise. Newton discovered Kepler’s rule.
Newton’s astronomical computations looked magical to his contemporaries. To them computing the surface gravity of a planet by purely mathematical methods was nothing short of magic. The whole world was impressed and Newton managed to convert all Aristotelian scholastic doctors to his own school he called Natural Philosophy.
As Newtonian school spread to Europe and then to the world as Natural Philosophy Newtonism became synonymous with science.
In fact Newtonism should have been synonymous with academic scholasticism and marketing.
But, Newton, no matter how good he was in self-promotion, could not have deified himself successfully if his astronomical calculations did not work.
Newton succeeded in replacing then dominant Cartesian system of vortices with his own because astronomers could not make predictions with vortices but they could with the Newtonian system.
Newton’s marketing genius manifested itself in the way he branded Kepler’s rule as Newton’s universal gravitation.
Before he learned about Kepler’s rule Newton could not make astronomical predictions. Newton wrote his treatise on motion in Latin and set it aside for two decades because it was as useless to make astronomical predictions as the Cartesian model.
Then Newton learned about Kepler’s rule in an astronomy textbook.
You and I or any mortal lacking Newton’s marketing genius would have used Kepler’s rule as is, as an astronomical rule, to make planetary computations.
Not the marketing genius closest to Gods.
Newton copied Thomas Streete’s computations with Kepler’s rule from Astronomia Carolina into his Principia but he cleverly obscured the fact that he was using nothing but Kepler’s rule in his computations.
In order to brand Kepler’s rule as Newton’s universal gravitation Newton invented new labels and branded parts of Kepler’s rule with his own labels. Typical marketing technique used by all packagers of consumer goods.
This is great marketing. Newton branded Kepler’s rule as Newton’s universal gravity by defining its parts as force and mass. He then designed the Newtonian System of the World to conform to and confirm his universal gravity.
But Newton did not design or develop the Newtonian mechanics. Newton did not know what is called the Newtonian mechanics today.
Newton used Kepler’s rule in its proportional form, not in its equational form written with named units of physics. Newton did not use equations or named or standard units.
In Principia Newton’s astronomical computations amount to algebraic transformations of the proportionality

that Newton first saw in Astronomia Carolina. Newton writes

as

and then as

and combines what he split and recovers Kepler’s rule.
But Newton’s method is cumbersome. He doesn’t have standard units and equations that can be used over and over again as canonical algorithms.
So after Newton people like Laplace, Euler, Gauss and Lagrange and many many others wove a mechanics around Kepler’s rule and called it Newtonian mechanics.
It’s difficult to imagine that Newtonian mechanics thought at schools today as the only truth was once the cutting edge of research and that the greatest mathematicians of their times worked on it.
Newtonian mechanics did not happen overnight, it took about two centuries to develop it to perfection.
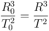
So in Newtonian mechanics Kepler’s rule written as

is read as “potential energy equals kinetic energy,” the famous law of conservation of energy.
The designers and developers of the Newtonian mechanics gradually defined and established units and constants to use with Kepler’s rule and in about two centuries they transformed the true proportionality

into

Note how physicists write the same term m on both sides as mathematical sophistry to save Newton’s authority.
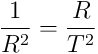
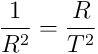
Kepler’s rule written in equation form with Newtonian terminology is equivalent to Kepler’s rule written simply in its proportional form.
Comparing Kepler’s rule in proportional form

with its Newtonian equational form

we see that Newtonian mechanics is nothing more than Kepler’s rule written in named units, named coefficients called constants all branded with ideological names to make Kepler’s rule Newton’s own.
It’s Kepler’s rule that computes astronomical quantities, not labels Newton attached on it.
Kepler’s rule is the only rule known to humanity that describes astronomical motion. There is no other rule.
You can brand Kepler’s rule as many ways as you want but you can never find a new rule.
I eliminated Newtonian branding and recovered the true rule.
Density continuum is Kepler’s rule without Newtonian ideology.
* * *
Nature is operational not matterful. Life is contractual not existential. Therefore life is lovely not legal.