22. Computation of Lagrange point L1
I’ve been looking at the standard Newtonian computation and I noticed that they start by introducing Newtonian ideological terms such as force
, the unit of force
, and mass of the satellite
but they eliminate all these terms, when it comes time to actually compute. The final operational expression they use in the computations does not contain any Newtonian terms:

This expression does have a ratio of masses as
, the ratio of the masses
of the Sun and
of the Earth, but this is not the Newtonian dynamical “mass” which is supposed to be the source of force that powers the orbit.
They simply call the unit in Kepler’s Rule “mass”. This goes back to Newton, of course, who defined the constant term in Kepler’s Rule as “mass.”
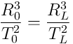
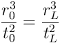
I call the same term “density constant” in Kepler’s Rule, because it is the defining characteristic of a density continuum. This is the term we keep constant to compute other values in the same continuum. In the case of the Sun and the Earth, we know the distance and Earth’s period and if we want to compute the density in L1 point we write Kepler’s Rule like this:

Similarly, we can write Kepler’s Rule for the Earth and the Moon and we can write density at L1:

From these I cannot compute the distance to L1, but I can compute the ratio

First solve for periods at L1:

Take their ratio

Since at L1
, and grouping constant terms

so,
![\sqrt[3]{\frac{t_0^2}{r_0^3}}=\frac{R_L}{r_L} = \frac{\textup{Sun-L1 distance}}{\textup{Earth-L1 distance}} = 0.01447](/preview_site_images/densytics/leanpub_equation_120.png)
The conventional value is

The difference is 0.00434.
* * *
I also compute Earth-L1 distance by using Newtonian ratio of masses and Keplerian ratio of masses, and I get the same result.


* * *
By using Newtonian and Keplerian values of y, I compute

The operational expression used in the computations

reduces, with the introduction of the new variable
, to

After approximations the same equation reduces to

And taking cube root of each side
![z \approx \sqrt[3]{\frac{y}{3}} \approx \frac{R}{r}](/preview_site_images/densytics/leanpub_equation_129.png)
(For details see the original computations in NASA page)
I then compute Earth-L1 distance by using the standard value of
and
, the difference is only about 5,000 kilometers.


* * *
I conclude that Lagrange points are a natural consequence of density continuum. No Newtonian ideological terms such as Newtonian occult force F and Newtonian dynamical mass as the source of force and the supposedly universal unit of force G that does not even enter the computations are needed to explain Lagrange points.