5. Kepler’s Rule is the definition of density
Newton defined density as
Quantity of matter is a measure of matter that arises from its density and volume jointly.
(Definition 1, Mathematical Principles of Natural Philosophy, 1687, Isaac Newton; referred to hereinafter as the “Book”.)
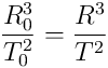
Newton’s definition of density is a statement of Kepler’s Rule which is written in its fundamental (proportional) form, as

which is equivalent to “Quantity of matter is density times volume” (by “density” Newton means “square of frequency”):

or

Newton discovered that Kepler’s Rule is the definition of density.
This is a discovery of historic proportions that forces us to question the Newtonian occult world view which defines nature as
- atomic
- material
- forceful
Why did Newton choose to hide his greatest discovery as a secret code and did not reveal it to the world?
Probably because this discovery is at odds with Newton’s religious beliefs as expressed in Newton’s Zeroth Law that
God in the beginning formed matter in solid, massy, hard, impenetrable movable particles.
(Isaac Newton, Optics, 1704, Book III, page: 375)
Newton’s realization that Kepler’s Rule is the definition of density refutes the dynamic system of the world Newton defined in his Book. This dynamic and occult Newtonian world view based on Newton’s Zeroth Law has become the standard and generally accepted and allegedly self-evident official world view of humanity.
Now, we see that Newton’s own true discovery refutes the system of the world Newton defined in his Book.
To understand why, let’s start by writing some undisputed facts:
Undisputed fact 1:
Kepler’s Rule describes orbits with only 2 terms, R and T. R is the radius of the orbit and T is the period of the orbit.
Undisputed fact 2:
By Undisputed fact 1, orbits are not forceful, but geometric; no force term is needed or used to compute orbits.
Observation 1:
Newton claimed that the world is atomic, material and forceful because he allegedly computed orbits by using force and mass. Now we know that Newton used only Kepler’s Rule to compute orbits. He did not use force to compute orbits.
Question 1:
Is the world Newtonian, i.e., atomic, material and forceful as Newton claimed?
Answer 1:
No. If, following Newton as example, we base our definition of the world on the calculation of orbits; we must conclude that the world is not atomic, material and forceful. We must conclude that
the fundamental unit of nature is not matter but density.
The world is matterless as proved by Kepler’s Rule. The system of the world defined by Newton is no longer supported by any observational or experimental evidence.
And it was Newton who discovered that we are living in a matterless world! I find this ironic and amazing.
So, please adjust your world view accordingly.