Displaying Graph Data Using PyGraphViz

This example can be found in Colab notebook pygraphviz demo

TBD:

1 !apt install libgraphviz-dev
2 !pip install pygraphviz
3 
4 import pygraphviz as pgv
5 from IPython.display import Image

TBD:

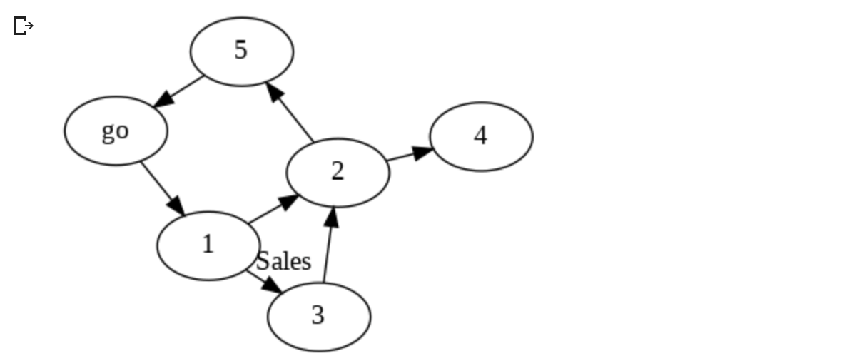
 1 d={'1': {'2': None, '3': None}, '2': {'4': None, '5': None}, '3': {'2': None},
 2    '5': {'go':None}, 'go':{'1':None}}
 3 A=pgv.AGraph(d, directed=True)
 4 edge = A.get_edge('1', '3')
 5 edge.attr['label'] = 'Sales'
 6 
 7 A.to_string()
 8 A.layout()
 9 A.draw('file.png')
10 
11 Image('file.png')

The output is:

 1 d={'1': {'2': None, '3': None}, '2': {'4': None, '5': None}, '3': {'2': None},
 2    '5': {'go':None}, 'go':{'1':None}}
 3 A=pgv.AGraph(d, directed=True)
 4 edge = A.get_edge('1', '3')
 5 edge.attr['label'] = 'Sales'
 6 
 7 A.to_string()
 8 A.layout()
 9 A.draw('file.png')
10 
11 Image('file.png')
Example running in Google Colab Jupyter Notebook
Example running in Google Colab Jupyter Notebook